在城市供水系统中,直接向管网送水的泵站一般采用多台水泵联合工作,通过泵站出水管上的公共节点向管网送水。泵站内各水泵联合运行时工况必须满足公共节点处即管网中用户的水量、扬程要求。为满足管网的水量、扬程要求,要以电耗最低为目标,调节泵站内水泵转速。转速越小,其电能消耗越少,水泵调节范围应在最小转速与额定转速之间,但实际运行中,转速较小时的水泵工作效率反而降低。为保证水泵工作效率,实际运行中可取水泵额定nH转速的40%o
当泵站多台水泵联合运行时,考虑投资、运行管理等因素,一般只对其中几台水泵进行变速调节,可利用计算机求出电耗最低时水泵联合运行的优化组合方式。假定泵站内有多台同型号水泵联合工作,对其中b台进行变速调节,组成M—b台恒速水泵和b台调速水泵联合运行系统。现对该系统在满足管网流量和扬程的需求下,计算确定调速水泵的转速和多台运行的运行工况。
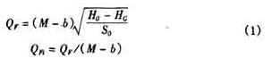
设管网所需水量Q和压力日G,此时恒速水泵供水量Q,及单台恒速水泵的流量Qn为:
式中风为闭闸启动时水泵扬程;风为管网压力;So为水泵阻耗。
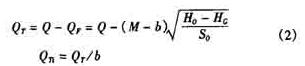
根据多台水泵并联运行流量叠加原理,b台调速水泵供水量QT及每台供水量QT为:
则,需调速水泵的调节转速nT为:

泵站功率消耗为(M—b)台恒速水泵与b台调速水泵运行功率消耗之和。
以上公式为多台水泵联合运行的优化模型。在泵站实际运行中,可按上述理论,以功率消耗N为目标函数,以管网某时段的需水量、压力和水泵允许的调速范围为约束条件,编制和相应计算程序,利用计算机计算出功率消耗最低时的水泵运行台数和需调速水泵的调节转数。
广一水泵公司下属一水泵站,有3台12sh-6型水泵联合运行,铭牌参数为n=1470r/min,Q=164—260L/s,H=98.82m,电动机功率300Kw.其运行方式有三种组合:单泵运行、两台水泵并联运行、三台水泵并联运行。该泵站地面标高约50m左右,建成初期负责向高地形区供水,扬程需求较高,后在其供水范围内标高104m处建成5万矗/d的地面水厂,共同向该区域供水。由于高地形位置上的地面水厂运行,该泵站实际出厂扬程经常低于70m,因此不得不采用闸阀调节控制出厂扬程,以满足管网实际扬程需求,泵的工作压力经常高于出厂压力,能量消费很大。该泵站每晚24:00至次日05:00之间,运行情况大致是两台并联运行,供水量约370L/s,出厂扬程约67m,另一台的流量185L/s,扬程约89m0两台水泵功率消耗约460kW。此时单泵尽管在其高效率段运行,但是约有22m的扬程损失在闸门调节中,运行极不经济,也增加了水泵的磨损。
根据以上建立的多台水泵联合运行优化模型,采用两台变速水泵优化运行,求得满足上述管网水量、压力需求且泵站运行电耗最低时水泵运行组合和需变速调节水泵的调节转速。查水泵样本和计算可得12SH-6型水泵的有关基本参数:Ho=108.572m,So=393.082,A=92.0,B=3.012,口=0.7530将上述参数值和实例中管网某时段所需的水量、压力值输入计算机,运用所编程序计算,得出以下数据:①两台水泵调速运行可满足管网某时段的水量、压力需求;②每台水泵运行工况Q=184.65L/s,H=66.83m;③水泵调节转速,I=1264r/rain;④两台泵功率消耗N=335.1kW。根据上述两种工作状况比较可知,两台水泵调速运行比恒联合运行时节电约27%,节能效果显著。
根据该泵站的实际供水曲线,利用本文建立的优化模型进行连续优化设计计算,年节约电量约可达22×104Kw.h。
广一水泵结论
(1)利用水泵调速,可优化水泵运行,避免了闸阀节流降压,使水泵耗用电能相应减小,节能效果显著。
(2)按本文建立的多水泵联合运行优化模型,利用计算机计算最低电耗时水泵运行组合和水泵调节转速,可应用于泵站24h供水变化,实现泵站24h连续优化运行设计,并为利用送水管道的压力和流量,作为自控的输入信号,实现泵站运行自动化控制提供了新的思路和方法。
(3)通过计算机,用变频的方法对水泵实行自动调速,保证用户的流量、扬程,避免超压和人为的压头损失,使管网始终运行在最佳状态,是保证供水质量和降低能耗最优方案。